Skip to content
Alvis Archive
Menu
HOME
ABOUT THE ALVIS ARCHIVE TRUST
OUR PATRON
DATA
LINKS
QUICK INDEX
Previous Image
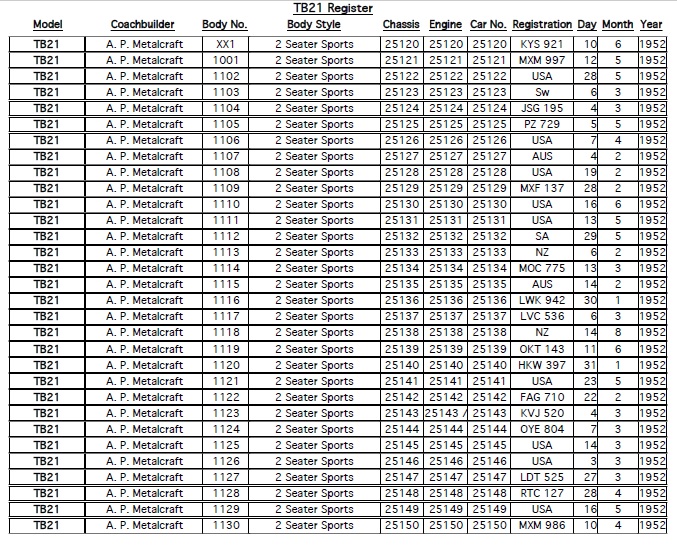
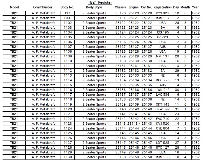
TB21
Like
Loading...
Leave a comment
Cancel reply
Δ
This site uses Akismet to reduce spam.
Learn how your comment data is processed.
Post navigation
Published in
TB21
Subscribe
Subscribed
Alvis Archive
Join 1,399 other subscribers
Sign me up
Already have a WordPress.com account?
Log in now.
Alvis Archive
Subscribe
Subscribed
Sign up
Log in
Copy shortlink
Report this content
View post in Reader
Manage subscriptions
Collapse this bar
Privacy & Cookies: This site uses cookies. By continuing to use this website, you agree to their use.
To find out more, including how to control cookies, see here:
Cookie Policy
%d